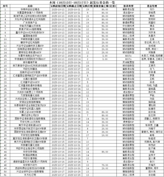
国庆长假后首个完整交易周,新基金发行热度高企。本周(10月13日—10月17日)5个交易日中,共有51只新基金登场,面向投资者公开发行。
31只扎堆在周一发行
具体来看,周一(10月13日)仍是新基金发行的重要一天,本周51只新发基金中31只扎堆在周一发行,占本周新基金的60.78%;周二无新基金启动募集,周三、周四和周五分别有12只、4只、4只基金开始认购。
从认购天数来看,本周新基金中,认购天数最长为21天,来自华夏上证180ETF联接。在其之后,招商中证A50ETF联接、申万菱信中证A500红利低波动指数、中邮新锐量化选股等9只新基金的计划认购天数均为19天,苏新睿见量化选股和平安恒生指数增强紧随其后,认购天数为17天。
整体来看,51只新基金平均认购天数为12.59天,较此前明显缩短。
业内认为,这或与近期市场行情及预期表现向好有关,新基金发行回暖信号频现,例如多只权益新基金扎堆提前结束募集。
本周新基金中,认购天数最短的是两只公募REITs产品 —— 中信建投沈阳国际软件园REIT与华夏中海商业资产REIT,仅发售两天。另有三只基金的认购天数为5天,且均为被动指数型股票基金,分别是汇添富国证通用航空产业ETF联接、大成创业板人工智能ETF联接、汇添富中证500ETF。
从募集目标来看,本周新发的51只基金中,有27只明确了募集目标。其中,8只基金将募集目标设定为80亿份,涵盖4只被动指数型股票基金、3只偏股混合型基金与1只偏债混合型FOF;而募集目标最低的为3亿份,对应前述两只公募REITs产品。
权益类基金为绝对主力
从基金类型看,本周新基金中权益类基金担当“绝对主力军”,共有42只基金属于此类型,占本周新基金总数的82.35%。
其中,指数型股票基金有28只,在权益基金中占66.67%。有多只根据港股通相关指数的基金于本周新发,包括国联中证港股通综合指数增强、摩根恒生港股通50ETF、南方中证港股通50ETF等。
跟踪科创板、创业板相关指数的新发基金也比较多,既有宽基产品,如西部利得创业板综合ETF联接、前海开源上证科创板50成份指数等,也有大成创业板人工智能ETF联接等行业或策略主题产品。
本周新基金中有14只主动权益基金,包括11只混合型基金和3只普通股票型基金。混合型基金中,仅1只为灵活配置型基金,其余均为股票仓位较高的偏股混合型基金。
主动权益基金中,一方面,多只量化主题产品齐发,包括苏新睿见量化选股、万家智胜量化选股、中邮新锐量化选股等。另一方面,从投资方向看,基金公司布局类型多点开花,有广发信息产业、华安新兴动力等科技成长类产品,也有永赢价值回报、中欧价值领航、华泰紫金价值精选等偏均衡价值风格的产品,还有中欧红利慧选等红利高股息主题的产品,反映出公募基金公司的差异化布局。
此外,本周新基金中仅有3只债券型基金,包括2只混合二级债基和1只中长期纯债基金。随着权益市场回暖,债券市场连续下跌,债券基金尤其纯债基金发行热度明显下降。不过,“进可攻、退可守”的“固收+”基金相对而言较受关注,新发基金持续上架。
业内人士认为,当前新基金发行市场明显好转,尤其权益类产品发行难度有所降低。展望后市,若行情持续向好,投资风险偏好将持续提升,公募发行市场也有望持续回暖。除了热度高企的指数基金外,主动权益类基金也将重回投资视野。

据爆料东莞松山湖畔的华为工厂里,一台刻着“中国制造”的庞然大物正在全速运转。 它投射出的极紫外光束精准落在晶圆上,刻画出仅有头发丝万分之一细的电路。 这不是ASML的机器,而是华为联合国内产业链自主研...
什么是东城贷欠款逾期?简单就是你借了东城贷的钱,没有规定时间内还款,导致逾期。逾期后轻则产生利息罚息,重则影响个人征信,甚至走上法律程序。那面对东城贷欠款逾期,我们到底该怎么办呢?下面逐步来分析。了...
8月4日消息,中国金属材料流通协会执行会长兼秘书长陈雷鸣近日表示,雅鲁藏布江下游水电工程于2025年7月19日正式开工,这项总投资1.2万亿元的世纪工程,装机容量达7000万-8100万千瓦,相当于三...
财联社5月21日讯(编辑 卞纯)据媒体报道,有多名美国官员透露称,美国获取的最新情报显示,以色列可能正在准备对伊朗核设施发动打击。 受此消息影响,周三亚盘,国际油价大幅上涨。WTI原油期货一度上涨逾2...
热点栏目 客户端 螺纹钢: 节后首个工作日螺纹盘面高开低走,震荡收跌,截止日盘螺纹2510合约收盘价格为3077元/吨,较上一交易收盘价格下跌19元/吨,跌幅为0.61%,持仓增加9.25万手。现货...
在初中阶段,考试评价是衡量学生学习成果的重要方式。一份优秀的考试评价不仅能够准确反映学生的学业水平,还能激励学生进步。以下是撰写高质量初中考试评价的一些建议。 一、明确评价目的与标准 在进行考...